您好,欢迎来到上海蓝丝带公益基金会!
全国热线:021-50790860
工作时间:09:00-17:00
在线咨询
首页
|
机构介绍
|
新闻资讯
|
公益项目
|
政策法规
|
信息公开
|
在线服务
信息公开
公告
年度报告
财务审计
获得荣誉
信息公开
首页
>
信息公开
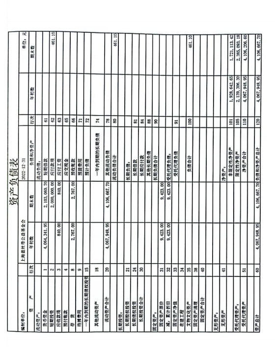
上海蓝丝带公益基金会2022年度审计报告